近日,公共卫生学院教授余宏杰课题组在人感染禽流感H7N9的流行病学特征变化和大流行风险评估领域取得重要进展,研究结果以《2013–17年中国五波人感染禽流感H7N9疫情的流行病学研究》(Epidemiology of avian influenza A H7N9 virus in human beings across five epidemics in mainland China. 2013–17: an epidemiological study of laboratory-confirmed case series)为题以快速通道形式,在线发表于《柳叶刀感染性疾病》(Lancet Infectious Diseases)(论文链接:http://www.thelancet.com/journals/laninf/article/PIIS1473-3099(17)30323-7/fulltext)。该文通讯作者是公共卫生学院国家杰出青年科学基金获得者、长江学者特聘教授余宏杰,公共卫生学院青年教师王锡玲和中国疾控中心博士生姜慧是共同第一作者。
自2013年3月中国发现了全球首例人感染禽流感H7N9病例以来,每年冬春季都会出现一波人感染禽流感H7N9疫情。该病毒可通过基因重配或适应性突变演变成为引起流感大流行的病毒,持续的病毒学和流行病学监测和研究是大流行风险评估的重要内容。在2016-2017第五波疫情前,H7N9病毒为低致病性禽流感病毒,禽类感染该病毒后不出现临床症状。然而,2017年2月19日,中国疾控中心报告从广东的两例人感染禽流感H7N9病例中分离病毒株的测序结果显示,病毒的HA裂解位点插入了多个碱性氨基酸,提示该病毒已变异为高致病性禽流感病毒,在禽类中出现病死等情况。此外,2016-2017年-第五波疫情较往年出现得更早,报告病例数也超过了之前任何一波。
第五波疫情中人感染禽流感H7N9的流行病学特征和临床严重性是否发生了变化?其引起大流行的风险是否增强?这已成为国际科学界关注的焦点和亟待解决的科学问题。
余宏杰课题组自2013年始,在禽流感H7N9的流行病学、传播动力学和大流行风险评估等领域开展了持续研究,已在《柳叶刀》(Lancet), 《英国医学杂志》(BMJ), 《柳叶刀感染性疾病》(Lancet Infectious Diseases), 《自然通讯》(Nature Communications)和《临床感染性疾病》(Clinical Infectious Diseases)等国际期刊发表数十篇论文。在以往研究基础上,本研究聚焦于2016-2017第五波禽流感H7N9的流行病学特征和临床严重性,并与前四波进行比较,以揭示其流行病学特征、临床严重性和大流行风险是否发生了变化。

图1

图2
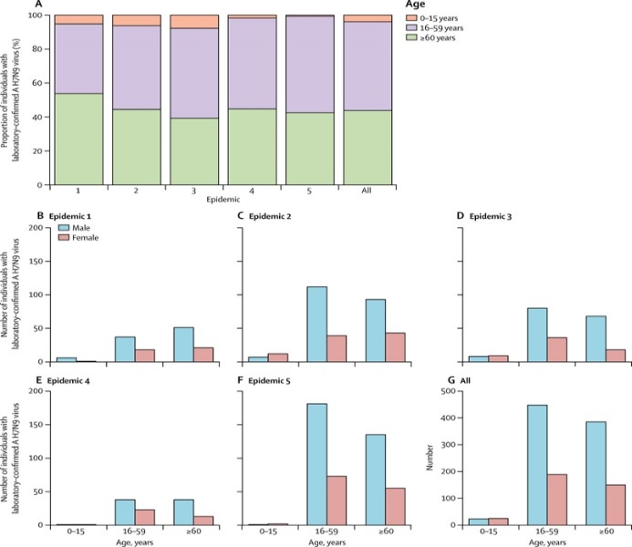
研究发现,2016-2017第五波疫情较往年出现得更早,地理扩散范围更广,发病更多(图1和图2)。从第一波到第五波疫情,16-59岁病例的比例从41%逐渐上升至57%(图3)。第四波和第五波疫情中城乡结合部及农村病例的比例(63%和61%)高于前三波(39%,55%和56%),但各省情况不完全一致。约70%的病例发病前10天有家禽暴露史,活禽市场和散养家禽暴露仍是感染的两个主要途径。虽然农村和城乡结合部病例报告活禽市场暴露的比例较城市病例低,但是第五波疫情中仍有48%的农村病例及61%的城乡结合部病例报告了活禽市场暴露。H7N9住院病例的死亡、机械通气和入住重症监护室的风险与以往类似。

图3
研究结果表明,人感染禽流感H7N9的地理范围不断扩大,提示病毒在禽间的地理扩散范围更广泛。随着越来越多的城市活禽市场关闭,病毒可沿着家禽运输和交易的路线隐性传播,持续扩散到没有或没有严格执行活禽市场关闭的地区,包括尚未发现疫情的地区。本研究提示对活禽中的禽流感H7N9监测需进一步加强,并建议采取永久性活禽市场关闭,或在疫情发生前采取主动的活禽市场关闭措施。人间病例对于病死禽的暴露并未发生明显变化,但未来可随禽中循环的高致病性和低致病性禽流感H7N9病毒的比例的变化而变化。第五波疫情报告的病例数高于前四波,提示禽类中H7N9病毒的循环强度可能较前几波高。
本研究创新在于全面阐明了2013年至2017年人感染禽流感H7N9的流行病特征及临床严重性的变化,为大流行的风险评估及防控措施提供了科学证据。
鉴于本研究的重要科学及公共卫生意义,《柳叶刀感染性疾病》以快速通道形式发表了论文,并同期邀请了世界卫生组织动物流感研究参比中心主任、国际著名流感病毒专家Richard Webby和广州医科大学附属第一医院教授杨子峰撰写了专家述评(专家述评链接:http://www.thelancet.com/journals/laninf/article/PIIS1473-3099(17)30337-7/fulltext)。述评指出,余宏杰课题组通过快速、全面地研究禽流感H7N9的流行病学特征,证明了人感染禽流感H7N9病例的临床严重性并未发生明显变化,回答了“第五波疫情中,禽流感H7N9病例数激增且出现了高致病性H7N9病毒株是否会改变其引起大流行的风险”这个关键科学问题。
该研究得到国家自然科学基金委员会国家杰出青年科学基金项目(81525023)的资助。
(封面制图 张鹤仪)





