复旦主页
复旦邮箱
OA系统
eHall网上办事大厅
我要投稿
新闻文化网
导航
学校要闻
综合新闻
一线动态
专题报道
学习贯彻党的二十届四中全会精神
学习宣传贯彻习近平总书记重要贺信精神
复旦大学建校120周年
深入贯彻中央八项规定精神学习教育
本科教育教学审核评估
复旦大学第十六次党代会召开
我们这六年
我和我的老师
党纪学习教育
“文化校历”之“学科周”
相辉校庆系列学术报告
学习贯彻习近平新时代中国特色社会主义思想主题教育
学习宣传贯彻党的二十大精神
喜迎二十大,见证新变化
浦江科学大师讲坛
深切缅怀杨福家老校长
“第一个复旦”
学习贯彻六中全会精神
奋斗百年路 启航新征程
党史学习教育
学习贯彻五中全会精神
学习宣传贯彻总书记重要回信精神
赓续红色百年·365行动
“四史”学习教育
“三全育人”综合改革进行时
课程思政
你身边的“十三五”
脱贫攻坚 复旦在战
新生攻略
防控疫情 复旦在行动
复旦党员冲锋在前线
教师社会实践
学钟扬 忆钟扬
复旦智库
复旦人物
复旦讲堂
复旦书屋
相辉笔会
校史通讯
复旦管理学奖
上海论坛
工博会上的复旦
历史数据
视频新闻
一周复旦
主题视频
复旦白衣战士前线日记
复旦人物
兰台纪事
图说复旦
热点图集
校园生活
校园文化
文化之窗
新闻排行
媒体视角
专家视点
复旦校报
声动复旦
青年问
校史故事
复旦诗声
“不忘初心、牢记使命”主题教育
旦夕之音
科教扫描
通知公告
文化校历
首页
学校要闻
学校要闻
头条复旦
医疗健康
我校医科聚焦国家医改新政前瞻性践行分级诊疗制度建设<br />“复旦-闵行”医教研协同共建“试水...
新闻中心讯 为贯彻落实《国务院办公厅关于推进分级诊疗制度建设的指导意见》,国家卫生计生委日前在沪召开
2015-09-30
88
分享到
微信好友
新浪微博
QQ空间
微信朋友圈
头条复旦
我校开展全国烈士纪念日主题教育活动
今年是中国人民抗日战争暨世界反法西斯战争胜利70周年。在第二个全国烈士纪念日到来之际,我校组织学生开
2015-09-30
97
分享到
微信好友
新浪微博
QQ空间
微信朋友圈
头条复旦
我校召开科研骨干座谈会
为进一步明确“十三五”期间学校发展的思路与目标,推动学校科技工作迈上新台阶,
2015-09-29
81
分享到
微信好友
新浪微博
QQ空间
微信朋友圈
头条复旦
科研进展
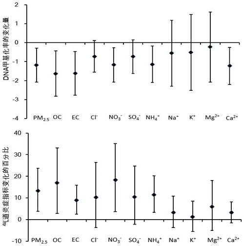
我校阚海东课题组研究发现:PM2.5可通过表观遗传通路影响健康
近日,我校公共卫生学院阚海东课题组在大气细颗粒物(PM2.5)与居民健康领域取得进展。国际环境科学领
2015-09-29
92
分享到
微信好友
新浪微博
QQ空间
微信朋友圈
头条复旦
科研进展
我校应天雷课题组发现m336抗体中和MERS病毒新机制
MERS病毒,又被称为“类SARS病毒”,是目前感染人类致死率最高的冠状病毒
2015-09-26
97
分享到
微信好友
新浪微博
QQ空间
微信朋友圈
头条复旦
我校召开党外代表人士双月座谈会
9月21日下午,校党委在逸夫楼圆桌会议室召开党外代表人士双月座谈会,围绕学校“&lsqu
2015-09-25
73
分享到
微信好友
新浪微博
QQ空间
微信朋友圈
头条复旦
我校召开党外代表人士双月座谈会
9月21日下午,校党委在逸夫楼圆桌会议室召开党外代表人士双月座
2015-09-25
72
分享到
微信好友
新浪微博
QQ空间
微信朋友圈
头条复旦
校友动态
季新生校友喜获习近平主席通令嘉奖
日前,中央军委主席习近平签署通令,给在科研工作中做出突出贡献的数学科学学院1988届校友、信息工程大
2015-09-24
77
分享到
微信好友
新浪微博
QQ空间
微信朋友圈
头条复旦
党建动态
我校党委常委班子举行“三严三实”专题教育第三次学习研讨
新闻中心讯 9月14日,复旦大学党委常委班子举行“三严三实”专题教育第三次学
2015-09-24
57
分享到
微信好友
新浪微博
QQ空间
微信朋友圈
头条复旦
国际事务
复旦思想之花在欧洲绽放之“转”篇: 我校在瑞士弗里堡大学成功举办“中国日”活动
新闻中心讯 当地时间9月21日,复旦大学代表团一行来到瑞士弗里堡大学,在这里举办“中国日
2015-09-23
169
分享到
微信好友
新浪微博
QQ空间
微信朋友圈
头条复旦
绳其祖武 倍道而进<br />基础医学院举行建院60周年大会
正谊明道六十载,严谨求实育英才。9月17日,复旦大学基础医学院在枫林校区举行“绳其祖武,
2015-09-22
64
分享到
微信好友
新浪微博
QQ空间
微信朋友圈
头条复旦
我校物理学系研究员孔令欣获“求是杰出青年学者奖”
新闻中心讯 9月19日下午,“2015求是奖颁奖典礼”在中国科学技术大学举行
2015-09-21
118
分享到
微信好友
新浪微博
QQ空间
微信朋友圈
头条复旦
科研进展
我校彭慧胜课题组发现新型纤维状人工肌肉<br />研究成果发表于《自然纳米技术》
我校高分子科学系、聚合物分子工程国家重点实验室、先进材料实验室彭慧胜教授课题组通过对碳纳米管的多级螺
2015-09-21
174
分享到
微信好友
新浪微博
QQ空间
微信朋友圈
头条复旦
国际事务
复旦思想之花在欧洲绽放之“承”篇:刘延东副总理出席中欧智库研讨会闭幕式
新闻中心讯 初秋的布鲁塞尔天清气爽,美丽的比利时荷语布鲁塞尔自由大学(VUB)校园里,中比两国以及中
2015-09-18
67
分享到
微信好友
新浪微博
QQ空间
微信朋友圈
每页
14
记录
总共
3985
记录
第一页
<<上一页
下一页>>
尾页
页码
221
/
285
跳转到
新闻分类
头条复旦
光华快讯
科研进展
学术文化
医疗健康
党建动态
校园生活
国际事务
招生就业
复旦人物
校友动态
相辉笔会
推荐视频
查看更多
图说复旦
查看更多
新闻排行
查看更多
周排行
月排行
联系我们
fudan_news@163.com021-65642268